| 查看之前的话题::查看下一个话题 |
| 作者 |
消息 |
husseins20 …

加入:2013年4月25日 帖子:62
|
发布:我2019年12月23日10:59文章主题:国旗 |
 |
|
亲爱的所有,
有人能分享国旗邮报》的设计实例。
高12米旗旗的帖子是竖立1 m (H) x 3 m (W)。
我曾经尝试过使用ANSI / NAAMM FP 1001 - 07年度,我得到断面尺寸Dia 168.3毫米和5毫米厚。
上面的部分是足够的还是太大了。
上面的建议将是有益的。
祝好 |
|
| 回到顶部 |
|
 |
es_jayakumar 一般的赞助商

加入:2011年11月24日 帖子:1408 地点:科钦
|
发布:2019年12月26日,星期四晚上22点文章主题: |
 |
|
我希望,国旗不会给予任何扭力/ BM /剪切后,同样的将东方本身的方向风(风平行)。因此,国旗后可以设计成悬臂钢梁受到风荷载。风荷载计算用表25 875(第3部分):2015(设计载荷(地震)建筑物和构筑物�守则第3部分风载)。 1。假设一个试验钢柱的直径(管)。 2。计算风荷载每米使用表25风的代码运行,圆截面,通过寻找适当的Cf的价值。 3所示。计算的最大BM职务一个悬臂梁和设计的部分。 4所示。如果北极的自重很重要,设计梁柱,BM和轴向载荷。
贾古玛E年代 |
|
| 回到顶部 |
|
 |
普拉卡什chitale 188金宝搏ios官方app下载SEFI成员

加入:08年1月2011年 文章:1
|
发布:2019年12月27日,星期五上午8:30文章主题:国旗 |
 |
|
它是正确的大小
在星期五,2019年12月27日12:22 pm husseins20, < forum@sefi188金宝搏ios官方app下载ndia.org (forum@188金宝搏ios官方app下载www.bussiapp.com)>写道:
| 引用: |
亲爱的所有,
有人能分享国旗邮报》的设计实例。
高12米旗旗的帖子是竖立1 m (H) x 3 m (W)。
我曾经尝试过使用ANSI / NAAMM FP 1001 - 07年度,我得到断面尺寸Dia 168.3毫米和5毫米厚。
上面的部分是足够的还是太大了。
上面的建议将是有益的。
祝好
|
通过电子邮件发布 |
|
| 回到顶部 |
|
 |
es_jayakumar 一般的赞助商

加入:2011年11月24日 帖子:1408 地点:科钦
|
日发布:太阳2019年12月29日,59分文章主题: |
 |
|
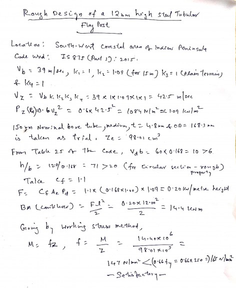
flag-post的一个粗略的设计问题,而不考虑自重的桅杆是企图&动力风效应。专家请检查指导。
贾古玛E年代
| 描述: |
|
| 文件大小: |
223.05 KB |
| 查看: |
370年时间(年代) |

|
|
|
| 回到顶部 |
|
 |
es_jayakumar 一般的赞助商

加入:2011年11月24日 帖子:1408 地点:科钦
|
庭讯发布:2020年1月1日结婚文章主题: |
 |
|
亲爱的Er.Hussein, 请参阅附上的由Dr.N文章。萨勃拉曼尼亚on the design of flag poles. As per this, the wind load on the flag is also to be considered in the design. An empirical formula for calculating the wind load on flag is also given. You can design your flag pole by taking into consideration the wind force on the flag also, using the mentioned formula. [ The quantum of this is found to be meagre, though]
最好的祝愿, 贾古玛E年代
警告:
确保你扫描下载附件更新杀毒工具之前打开它们。它们可能包含病毒。 使用在线扫描仪
在这里
和
在这里
上传下载附件检查安全。
|
| 描述: |
|
 下载 |
| 文件名: |
设计和施工的国旗Posts.pdf |
| 文件大小: |
182.41 KB |
| 下载: |
621年时间(年代) |
|
|
| 回到顶部 |
|
 |
husseins20 …

加入:2013年4月25日 帖子:62
|
发布:星期五,2020年1月03 8:54文章主题:国旗 |
 |
|
谢谢你的有价值的输入。
我们还需要满足l / r。自从杆将悬臂,最小满足勒/ r = 133毫米因此需要406.4 Dia 6毫米厚。这是检查也需要满足吗? |
|
| 回到顶部 |
|
 |
n博士萨勃拉曼尼亚 一般的赞助商


加入了:2008年2月21日 帖子:5538 地点:马里兰州,美国
|
|
| 回到顶部 |
|
 |
es_jayakumar 一般的赞助商

加入:2011年11月24日 帖子:1408 地点:科钦
|
发布:坐,2020年1月04 1:26我文章主题: |
 |
|
亲爱的NS先生, 谢谢你的指导。主要的垂直负载旗杆上自己的自重和偏心由于这将是几乎为零。然而,当风力下横向偏转,那么由此产生的横向偏转将翻译的CG自重(在中期高度),这将导致一些古怪的基地。这是照顾的,我认为。
问候, 贾古玛E年代 |
|
| 回到顶部 |
|
 |
n博士萨勃拉曼尼亚 一般的赞助商


加入了:2008年2月21日 帖子:5538 地点:马里兰州,美国
|
发布:坐,2020年1月04 3:05文章主题: |
 |
|
亲爱的贾古玛呃
是的。你是对的。文档我还援引样本计算。
温暖的问候 萨勃拉曼尼亚
| es_jayakumar写道: |
亲爱的NS先生, 谢谢你的指导。主要的垂直负载旗杆上自己的自重和偏心由于这将是几乎为零。然而,当风力下横向偏转,那么由此产生的横向偏转将翻译的CG自重(在中期高度),这将导致一些古怪的基地。这是照顾的,我认为。
问候, 贾古玛E年代 |
|
|
| 回到顶部 |
|
 |
renold何塞·库里 188金宝搏ios官方app下载SEFI成员

加入:2022年6月14日 文章:1
|
发布:2023年7月6日星期四6:11我文章主题: |
 |
|
| es_jayakumar写道: |
flag-post的一个粗略的设计问题,而不考虑自重的桅杆是企图&动力风效应。专家请检查指导。
贾古玛E年代 |
我们必须考虑到国旗负载?请建议任何参考 |
|
| 回到顶部 |
|
 |
|
|